
But what kills me about the CIA’s meme warfare center is that memes were invented by 12-year-old kids. As you read this, there is a prepubescent teenager sitting in his mom’s basement making a Pepe the frog meme to troll some people on social media. Ordinary school children are able to throw together memes that are creative, offensive, politically charged, politically astute, ironic, and funny.
Meanwhile, the CIA seems to believe that to create memes they need a meme war council consisting of an economist, a cultural anthropologist, a quality assurance cell, linguists, a targeting cell, and more all folded under a meme engineering department that sounds like the imagineers who work at Disneyland. Then we move over to the analysis department where we will have who knows how many people employed by your tax dollars to analysis memes. Together with the meme communications cell, they will “assess memes.”

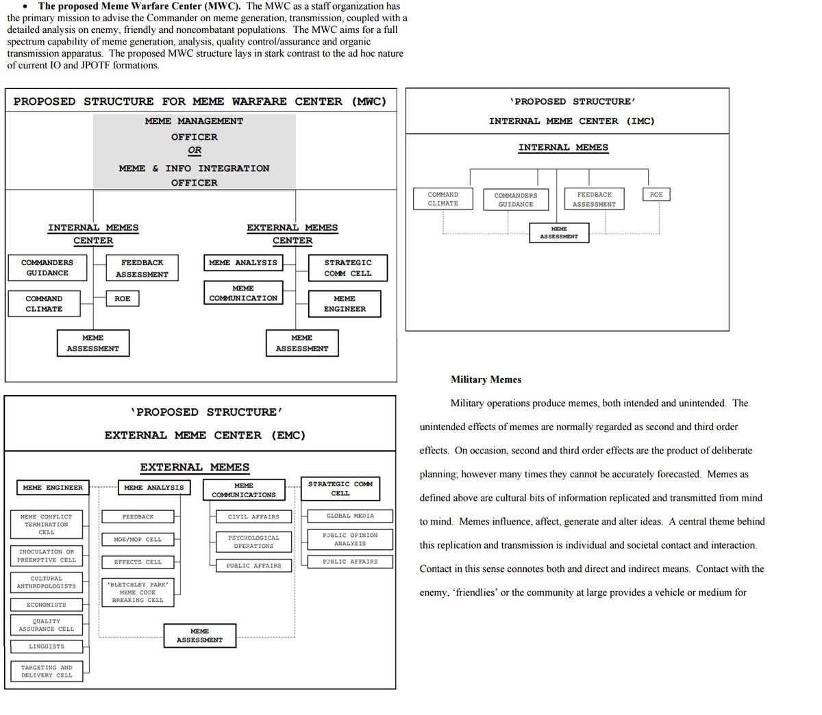
By the way, this is just the external memes center. Oh yes, there is an internal meme center too. Presumably they will make memes internal to the CIA that get passed across their agency local area network making fun of their bosses on the 7th floor.
Just to pause here for a moment, can you imagine meeting the CIA employee camped out in the basement of their headquarters at Langley who sits down there in the dark all day and night making memes for the US federal government? I imagine a rather large man with pizza sauce stains on his shirt and eye glasses so thick that they appear to create a visual distortion field around his head, his eyes appearing like those of a frog under this artificial enhancement. As he approaches you he gets way to close inside your personal space, he smacks his lips, adjusts his glasses, and says, “I make memes for the CIA.” This man has a top secret clearance folks.

I have to say, if I still worked for the US government, got called in for a briefing on psychological warfare and they threw this Meme Warfare Center slide up on the Powerpoint, I would literally lose my shit. Tables would be flipped over, trash cans would be kicked, EO complaints would be filed against me by my peers. How many millions of dollars would the US government spend on a team of experts with advanced degrees who will most likely underproduce and create memes that are not nearly as clever or as viral on social media as those made by Middle Schoolers?

Only the US government could come up with such a bureaucratic convoluted scheme. I swear to god, if I find out that we have meme doctrine writers somewhere then I’m pulling the plug. I’ll be writing for SOFREP from Central America from now on and turning in my US passport. If we want to create memes and propagandize our enemies, this is something that can be a part-time job for Army PsyOps. Really, it is something they can do for fun. Or we can outsource the job to high school and college kids, most likely at slave labor wages, but I digress.
To sum this thing up, I used to work with a Warrant Officer in Special Forces who would tell me that “we dazzle each other with dialect and baffle ourselves with bullshit.” We never hesitate to shoot ourselves in the foot with bureaucracy and nonsense. That the CIA needs to draw up an entire table of organization of equipment housing highly trained and highly paid experts to do the same thing that a 13-year-old on 4Chan does should tell you why our adversaries are currently running circles around us.
I conclude with a meme:













COMMENTS